
Background
2′-Fucosyllactose (2′-FL) is a human milk oligosaccharide (HMO) abundant in breast milk. Human milk oligosaccharides are recognised for their prebiotic and immunomodulatory effects, influencing infant gut microbiota and enhancing immune system function. This study aims to investigate the immunomodulatory and prebiotic effects of 2′-FL in lactating rats, elucidating its potential health benefits by analysing its impact on microbial communities, the immune system, and metabolic products.
Study Design and Methods
This study employed a randomised controlled trial design, with newborn Wistar rats randomly assigned to a control group and an experimental group. During the lactation period, the control group received standard feed while the experimental group was fed a diet supplemented with 2′-FL. Throughout the study, changes in gut microbiota, immunoglobulin levels, and metabolite concentrations were monitored via faecal sampling and blood analysis. Microbial communities in faecal samples were analysed using 16S rRNA gene sequencing, while serum immunoglobulin content was measured by enzyme-linked immunosorbent assay (ELISA).
Key Findings
1. No significant differences in growth and faecal characteristics
The study results indicate that supplementation with 2′-FL had no significant effect on body weight gain or faecal characteristics in lactating rats. This suggests that 2′-FL is safe and well-tolerated at the doses used, without inducing adverse physiological responses.
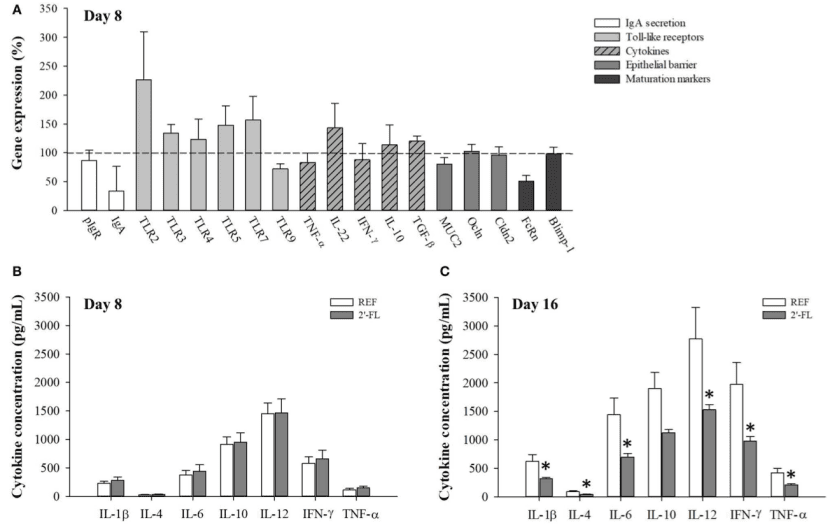
2. Elevated immunoglobulin and cytokine levels
Rats supplemented with 2′-FL exhibited reduced levels of highly inflammatory-associated factors such as IL-1β, IL-6, and IFN-γ, demonstrating 2′-FL's anti-inflammatory potential.
Furthermore, animals supplemented with 2′-FL exhibited elevated levels of circulating immunoglobulin G (IgG) and immunoglobulin A (IgA), alongside enhanced proliferation of B cells, T cells, and macrophages within the spleen. This further indicates 2′-FL's positive role in immune system development.

Figure 1: Effects of 2′-FL on Gut Gene Expression and Cytokines
(A) Day 8: Quantitative assessment via real-time PCR of IgA secretion, Toll-like receptors, cytokines, epithelial barrier integrity, and maturation
(B) Day 8: Pooled quantification of cytokines (IL-1β, IL-4, IL-6, IL-10, IL-12, IFN-γ, TNF-α) in intestinal lavage fluid from animals
(C) Day 16: Quantification of cytokine (IL-1β, IL-4, IL-6, IL-10, IL-12, IFN-γ, TNF-α) levels in pooled intestinal lavage fluid from animals

Figure 2: Effect of 2′-FL supplementation on plasma immunoglobulin levels
3. Improved intestinal tissue morphology
Administration of 2′-FL demonstrated enteral nutritional effects in the small intestine, such as increased villus height and surface area, indicating that 2′-FL contributes to maintaining intestinal health.

Figure 3: Effects of 2′-FL on intestinal tissue morphology at day 8
(A) Representative images of distal jejunal sections stained with haematoxylin and eosin, 100×
(B) Villus height, villus width, villus area, crypt depth, villus height/crypt depth ratio, and jejunal circumference in suckling mice
4. Significant alterations in faecal microbiota composition
Rats in the 2′-FL group exhibited marked changes in faecal microbiota composition, particularly at the phylum, family and genus levels. This demonstrated increased abundance of beneficial bacteria such as Bifidobacterium and Lactobacillus, alongside a reduction in potential pathogens. This indicates that 2′-FL exerts a positive effect on maintaining intestinal health.

Figure 4: Effects of 2′-FL on faecal microbiota composition on day 8
(A) Relative proportions of bacteria at phylum, family, genus and species levels
(B) Principal component analysis (PCA) of bacterial abundance at family level
(C) Venn diagram showing the number of families and genera in the REF and 2′-FL groups
5. Elevated levels of short-chain fatty acids in urinary metabolism
Urine metabolomics analysis revealed that rats in the 2′-FL group exhibited higher concentrations of short-chain fatty acids—such as acetate, propionate, and butyrate—metabolic products closely associated with gut health.
Discussion and Outlook
This study demonstrates that 2′-FL exhibits significant immunomodulatory and prebiotic effects in lactating rats. By regulating the gut microbiota, increasing immunoglobulin levels and short-chain fatty acid concentrations, 2′-FL improves intestinal health and enhances immune function. Future research may further explore the mechanisms of 2′-FL in other animal models and humans, particularly its potential in preventing and treating intestinal disorders. Moreover, as a functional food ingredient, 2′-FL holds broad application prospects and warrants in-depth development within the food and health supplement sectors.
Reference
[1] Ignasi Azagra-Boronat, M. J. et al. (2019). Immunomodulatory and Prebiotic Effects of 2′-Fucosyllactose in Suckling Rats. Frontiers in Immunology, 10, 1773. doi:10.3389/fimmu.2019.01773
