
背景
2′-岩藻糖基乳糖(2′-FL)是母乳寡糖(HMOs)的一种,在母乳中含量丰富。母乳寡糖被认为具有益生元和免疫调节作用,能够影响婴儿的肠道微生物菌群并增强其免疫系统功能。本研究旨在探讨2′-FL在哺乳大鼠中的免疫调节和益生元效应,通过分析2′-FL对大鼠微生物群落、免疫系统以及代谢产物的影响来揭示其潜在的健康益处。
PART.1
研究设计和方法
本研究采用了随机对照试验设计,将新生Wistar大鼠随机分为对照组和实验组,在哺乳期内分别给予标准饲料和添加2′-FL的饲料。研究过程中,通过粪便采样和血液样本分析来监测大鼠的肠道微生物菌群变化、免疫球蛋白水平及代谢产物浓度。采用16S rRNA基因测序技术对粪便样本中的微生物群落进行分析,并通过酶联免疫吸附测定(ELISA)检测血清中的免疫球蛋白含量。
PART.2
主要发现
1. 生长和粪便特性无明显区别
研究结果显示,2′-FL的补充对哺乳期大鼠的体重增长和粪便特性没有显著影响。这表明2′-FL在所用剂量下是安全且耐受的,不会引起负面生理反应。
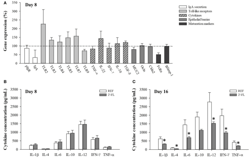
2. 免疫球蛋白和细胞因子水平提高
补充2′-FL的大鼠显示出高度炎症关联因子(如IL-1β、IL-6、IFN-γ)水平的降低,证明了2′-FL的抗炎潜力。
此外,补充了2′-FL的动物还显示出了更高水平的循环免疫球蛋白G (IgG)和免疫球蛋白A (IgA),并促进了脾脏中B细胞、T细胞和巨噬细胞的增殖,也表明2′-FL在免疫系统的发育中起到了积极的作用。

图1:2′-FL对肠道基因表达和细胞因子的影响
(A)第8天,实时PCR对IgA分泌、Toll样受体、细胞因子、上皮屏障和成熟度的定量评估
(B)第8天,在动物的肠道冲洗液中定量细胞因子(IL-1β、IL-4、IL-6、IL-10、IL-12、IFN-γ、TNF-α)的集合
(C)第16天,在动物的肠道冲洗液中定量细胞因子(IL-1β、IL-4、IL-6、IL-10、IL-12、IFN-γ、TNF-α)的集合

图2:补充2′-FL对血浆免疫球蛋白水平的影响
3. 肠道组织形态得到改善
2′-FL的给药在小肠中显示出肠营养效应,如更高的绒毛高度和面积,这表明2′-FL有助于维持肠道健康。

图3:2′-FL对第8天肠道组织形态的影响
(A)用苏木精和伊红染色的远端空肠切片的代表性图像,100×
(B)乳鼠的绒毛高度、绒毛宽度、绒毛面积、隐窝深度、绒毛高度/隐窝深度比和空肠周长
4. 粪便微生物菌群组成发生显著变化
2′-FL组的大鼠在粪便微生物菌群组成上显示出显著变化,特别是在菌门、科和属的水平,显示出有益菌如双歧杆菌和乳酸杆菌的丰度增加,同时潜在的病原菌减少。表明2′-FL对维护肠道的健康有积极作用。

图4:第8天2′-FL对粪便微生物菌群组成的影响
(A)门、科、属和种细菌的相对比例
(B)细菌在家族水平上的比例PCA
(C)Venn图显示REF和2′-FL组中的科和属的数量
5. 尿液代谢中的短链脂肪酸水平增加
尿液代谢组学分析显示,2′-FL组的大鼠具有更高的短链脂肪酸(如乙酸、丙酸和丁酸)水平,这些代谢产物与肠道健康密切相关。
讨论和展望
本研究证明了2′-FL在哺乳大鼠中具有显著的免疫调节和益生元效应。2′-FL通过调节肠道微生物菌群、增加免疫球蛋白水平和短链脂肪酸浓度,从而改善肠道健康和增强免疫功能。未来的研究可以进一步探讨2′-FL在其他动物模型和人类中的作用机制,特别是其在预防和治疗肠道疾病中的潜力。此外,2′-FL作为一种功能性食品成分,具有广泛的应用前景,值得在食品和保健品领域进行深入开发。
参考文献
[1] Ignasi Azagra-Boronat, M. J. et al. (2019). ImmunomodulatoryPrebiotic Effects of 2′-Fucosyllactose in Suckling Rats. Frontiers in Immunology, 10, 1773. doi:10.3389/fimmu.2019.01773
